Упр.679 ГДЗ Колягин Ткачёва 11 класс (Алгебра)
Решение #1
Решение #2

Рассмотрим вариант решения задания из учебника Колягин, Ткачёва, Фёдорова 11 класс, Просвещение:
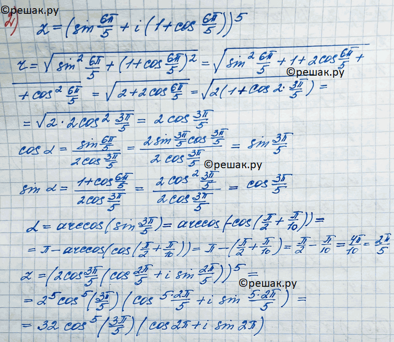
679. Записать в тригонометрической форме комплексное число:
1) z = (tg2-i)4;
2) z = (sin 6пи/5 + i(1 + cos 6пи/5))5.
Популярные решебники 11 класс Все решебники
*К сожалению, временные проблемы с публикацией комментариев с мобильных устройств.