Упр.678 ГДЗ Колягин Ткачёва 11 класс (Алгебра)
Решение #1
Решение #2

Рассмотрим вариант решения задания из учебника Колягин, Ткачёва, Фёдорова 11 класс, Просвещение:
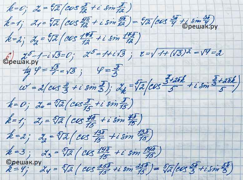
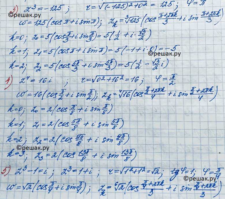
678. Решить уравнение:
1) z2 = -16i;
2)z2 = 8 + 6i;
3) z3 = -125;
4) z4 = 16i;
5) z3 - 1 = i;
6) z5 - 1 - i корень 3 = 0.
Популярные решебники 11 класс Все решебники
*размещая тексты в комментариях ниже, вы автоматически соглашаетесь с пользовательским соглашением