Упр.673 ГДЗ Колягин Ткачёва 11 класс (Алгебра)
Решение #1
Решение #2

Рассмотрим вариант решения задания из учебника Колягин, Ткачёва, Фёдорова 11 класс, Просвещение:
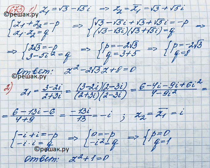
673. Составить приведённое квадратное уравнение с действительными коэффициентами, если один из его корней равен:
1) корень 3 - корень 5i;
2) 3-2i/2+3i.
Популярные решебники 11 класс Все решебники
*размещая тексты в комментариях ниже, вы автоматически соглашаетесь с пользовательским соглашением