Упр.673 ГДЗ Мерзляк Полонский 8 класс (Алгебра)
Решение #1 (Учебник 2025)
Решение #2 (Учебник 2025)
Решение #3 (Учебник 2019)
Решение #4 (Учебник 2019)

Рассмотрим вариант решения задания из учебника Мерзляк, Полонская, Якир 8 класс, Просвещение:
Решите уравнение, разложив его левую часть на множители:
1) x2 - 10x + 9 = 0;
2) x2 + 2х - 3 = 0;
3) x2 - x - 2 = 0;
4) x2 + 6x + 5 = 0.
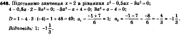
При каком значении а число 2 является корнем уравнения x2 - 0,5ах - 3a2 = 0?
Похожие решебники
Популярные решебники 8 класс Все решебники
*К сожалению, временные проблемы с публикацией комментариев с мобильных устройств.