Упр.6.65 ГДЗ Дорофеев Суворова 7 класс (Алгебра)
Решение #1

Рассмотрим вариант решения задания из учебника Дорофеев, Суворова, Бунимович 7 класс, Просвещение:
Упростите выражение:
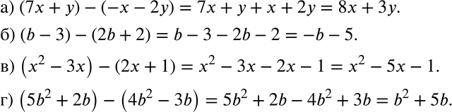
а) (7x + у)- (-х - 2у);
б) (b - 3) - (2b + 2);
в) (x2 - 3x) - (2x + 1);
г) (5b2 + 2b) - (4b2 - 3b).
Популярные решебники 7 класс Все решебники
*К сожалению, временные проблемы с публикацией комментариев с мобильных устройств.