Упр.6.103 ГДЗ Дорофеев Суворова 7 класс (Алгебра)
Решение #1

Рассмотрим вариант решения задания из учебника Дорофеев, Суворова, Бунимович 7 класс, Просвещение:
Упростите выражение:
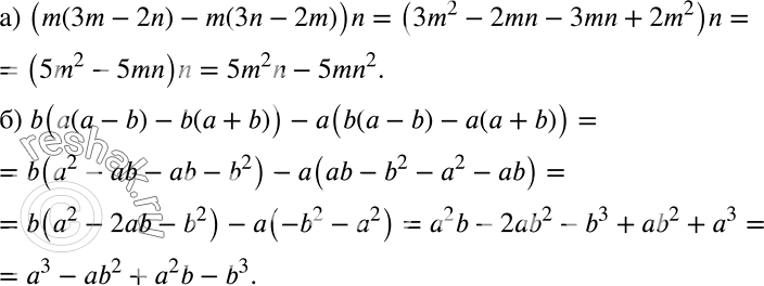
а) (m(3m - 2n) - m(3n - 2m))n;
б) b(а(а - b) - b(а + b)) - a(b(а - b) - а(а + b)).
Популярные решебники 7 класс Все решебники
*К сожалению, временные проблемы с публикацией комментариев с мобильных устройств.