🔥ГДЗ под запретом?

Параграф 59 Вопрос 2 ГДЗ Рудзитис Фельдман 8 класс (Химия)

Решение #1

Изображение 2.	Определите степени окисления элементов в следующих соединениях: Li2O, Na2O2, H2S, LiH, P2Os, K2Cr207.2. Составьте уравнения окислительно-восстановительных...

Решение #2

Изображение 2.	Определите степени окисления элементов в следующих соединениях: Li2O, Na2O2, H2S, LiH, P2Os, K2Cr207.2. Составьте уравнения окислительно-восстановительных...

Рассмотрим вариант решения задания из учебника Рудзитис, Фельдман 8 класс, Просвещение:
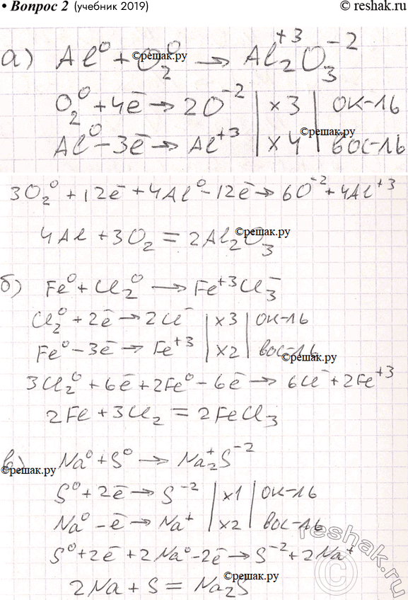
2. Определите степени окисления элементов в следующих соединениях: Li2O, Na2O2, H2S, LiH, P2Os, K2Cr207.

2. Составьте уравнения окислительно-восстановительных реакций: а) алюминия с кислородом; б) железа с хлором; в) натрия с серой. Укажите окислитель и восстановитель.
*Цитирирование задания со ссылкой на учебник производится исключительно в учебных целях для лучшего понимания разбора решения задания.
*К сожалению, временные проблемы с публикацией комментариев с мобильных устройств.