🔥ГДЗ под запретом?

Параграф 58 Вопрос 4 ГДЗ Рудзитис Фельдман 8 класс (Химия)

Решение #1

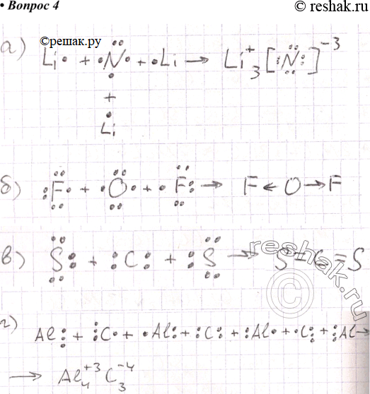
Изображение 4. Учитывая значения электроотрицательностей элементов (см. табл. 18), составьте химические формулы и укажите сдвиг общих электронных пар в соединениях: а) лития с...

Рассмотрим вариант решения задания из учебника Рудзитис, Фельдман 8 класс, Просвещение:
4. Учитывая значения электроотрицательностей элементов (см. табл. 18), составьте химические формулы и укажите сдвиг общих электронных пар в соединениях: а) лития с азотом; б) кислорода с фтором;
в) углерода с серой; г) углерода с алюминием.
*Цитирирование задания со ссылкой на учебник производится исключительно в учебных целях для лучшего понимания разбора решения задания.
*К сожалению, временные проблемы с публикацией комментариев с мобильных устройств.