Упр.561 ГДЗ Мерзляк 8 класс (Алгебра)
Решение #1
Решение #2
Решение #3

Рассмотрим вариант решения задания из учебника Мерзляк, Полонская, Якир 8 класс, Вентана-Граф:
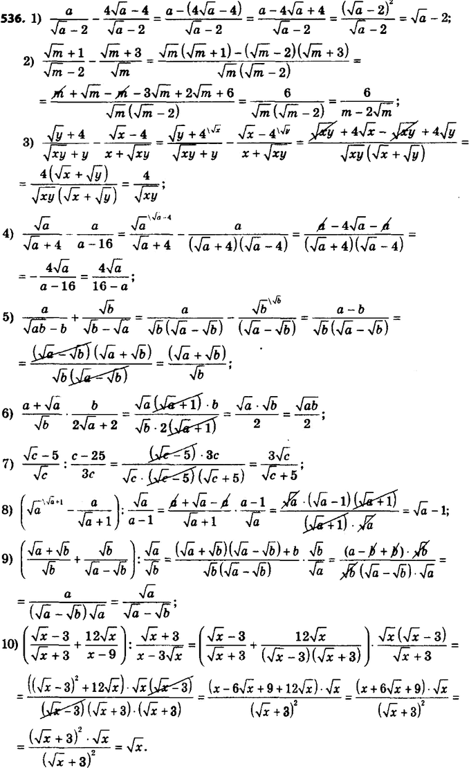
561. Упростите выражение:
1) a/(корень a - 2) - (4 корень a - 4)/(корень a - 2);
2) (корень m + 1)/(корень m - 2) - (корень + 3)/корень m;
Похожие решебники
Популярные решебники 8 класс Все решебники
*К сожалению, временные проблемы с публикацией комментариев с мобильных устройств.