Упр.50.4 ГДЗ Мерзляк 10 класс Углубленный уровень (Алгебра)
Решение #1

Рассмотрим вариант решения задания из учебника Мерзляк, Номировский, Поляков 10 класс, Просвещение:
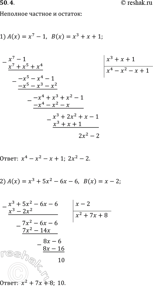
50.4. Разделив «уголком» многочлен A(х) на многочлен В(х), найдите неполное частное и остаток:
1) A(x)=x^7-1, B(x)=x^3+x+1; 2) A(x)=x^3+5x^2-6x-6, B(x)=x-2.
Похожие решебники
Популярные решебники 10 класс Все решебники
*размещая тексты в комментариях ниже, вы автоматически соглашаетесь с пользовательским соглашением