🔥ГДЗ под запретом?

Упр.5.459 ГДЗ Виленкин Жохов 5 класс Часть 2, Просвещение (Математика)

Решение #1 (Учебник 2023)

Изображение Упр.5.459 ГДЗ Виленкин Жохов 5 класс Часть 2, Просвещение

Рассмотрим вариант решения задания из учебника Виленкин, Жохов, Александрова 5 класс, Просвещение:
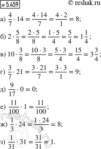
Найдите произведение:
а) 4/7 · 14; в) 10 · 3/8; д) 9/17 · 0; ж) 1/3 · 24;
б) 2 · 5/8; г) 3/7 · 21; е) 11/100 · 1; з) 1/31 · 31.

*Цитирирование задания со ссылкой на учебник производится исключительно в учебных целях для лучшего понимания разбора решения задания.
*К сожалению, временные проблемы с публикацией комментариев с мобильных устройств.