Упр.5 ГДЗ Мерзляк Полонский 7 класс (Алгебра)
Решение #1 (Учебник 2025)
Решение #2 (Учебник 2021)
Решение #3 (Учебник 2021)

Рассмотрим вариант решения задания из учебника Мерзляк, Полонская, Якир 7 класс, Вентана-Граф:
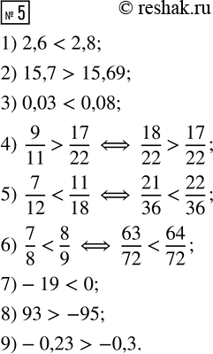
Сравните числа:
1) 2,6 и 2,8; 4) 9/11 и 17/22; 7) -19 и 0;
2) 15,7 и 15,69; 5) 7/12 и 11/18; 8) 93 и -95;
3) 0,03 и 0,08; 6) 7/8 и 8/9; 9) -0,23 и -0,3.
Вычислите значение числового выражения:
1) 14*7/15 - 3*3/23*23/27-1*1/5*1/6;
2) (5*8/9:1*17/36+1*1/4) * 5/21;
3) (-3,25 - 2,75) : (-0,6) + 0,8 * (-7);
4) (-1*3/8 - 2*5/12): 5*5/12.
Похожие решебники
Популярные решебники 7 класс Все решебники
*К сожалению, временные проблемы с публикацией комментариев с мобильных устройств.