Упр.11 ГДЗ Мерзляк Полонский 7 класс (Алгебра)
Решение #1 (Учебник 2025)
Решение #2 (Учебник 2021)
Решение #3 (Учебник 2021)

Рассмотрим вариант решения задания из учебника Мерзляк, Полонская, Якир 7 класс, Вентана-Граф:
Выполните действия:
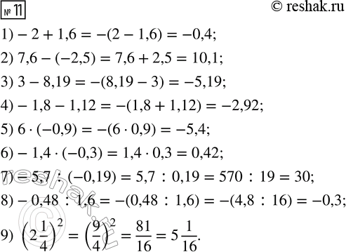
1) -2 + 1,6; 4) -1,8 - 1,12; 7) -5,7 : (-0,1·9);
2) 7,6 - (-2,5); 5) 6 · (-0,9); 8) -0,48 : 1,6;
3) 3 - 8,19; 6) -1,4 · (-0,3); 9) (2 1/4)^2.
Используя термины «сумма», «разность», «произведение», «частное», прочитайте алгебраические выражения и укажите, какие из них являются целыми:
1) а - (b + с);
2) а + 6с;
3) х - y/z;
4) 2m - 10;
5) a/b + c/d:
6) (a + b)с;
7) ас + bс;
8) a/(b+4);;
9) (a - b)(с + d).
Похожие решебники
Популярные решебники 7 класс Все решебники
*К сожалению, временные проблемы с публикацией комментариев с мобильных устройств.