Упр.4 ГДЗ Мерзляк Полонский 7 класс (Алгебра)
Решение #1 (Учебник 2025)
Решение #2 (Учебник 2021)
Решение #3 (Учебник 2021)

Рассмотрим вариант решения задания из учебника Мерзляк, Полонская, Якир 7 класс, Вентана-Граф:
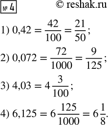
Запишите в виде обыкновенной или смешанной дроби и результат, если возможно, сократите:
1) 0,42; 2) 0,072; 3) 4,03; 4) 6,125.
Чему равно значение выражения:
1) 18*5/12 - 7/12 *1*19/21 - 17/12*2/3;
2) (6*3/4 - 5*1/8 :1*9/32) * 5/11;
3) (-1,42 - (-3,22)) : (-0,4) + (-6) * (-0,7);
4) (-7/18+11/22): (-19/48);
5) (-3*1/12- 2*1/15): (-5*3/20)?
Похожие решебники
Популярные решебники 7 класс Все решебники
*К сожалению, временные проблемы с публикацией комментариев с мобильных устройств.