Упр.487 ГДЗ Мерзляк 8 класс (Алгебра)
Решение #1
Решение #2
Решение #3

Рассмотрим вариант решения задания из учебника Мерзляк, Полонская, Якир 8 класс, Вентана-Граф:
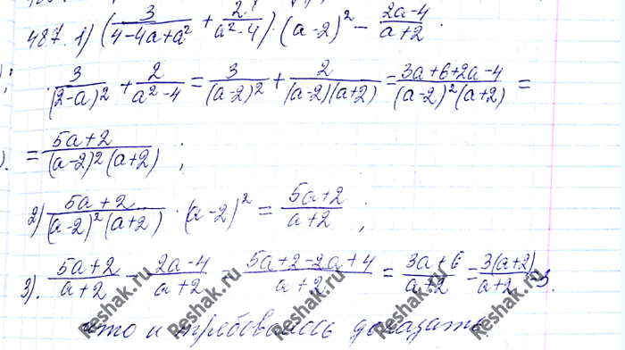
487. Докажите, что при всех допустимых значениях переменной значение выражения
(3/(4-4a+a2) + 2/(a2-4)) * (a-2)2 - (2a-4)/(a+2)
не зависит от значения a.
Похожие решебники
Популярные решебники 8 класс Все решебники
*К сожалению, временные проблемы с публикацией комментариев с мобильных устройств.