Упр.484 ГДЗ Мерзляк Полонский 8 класс (Алгебра)
Решение #1 (Учебник 2025)
Решение #2 (Учебник 2019)
Решение #3 (Учебник 2019)

Рассмотрим вариант решения задания из учебника Мерзляк, Полонская, Якир 8 класс, Просвещение:
Найдите область определения функции:
f(x) = 5/(x^2 - 4x) + 7/(x^2 - 16).
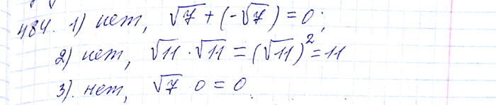
Верно ли, что:
1) сумма любых двух иррациональных чисел является числом иррациональным;
2) произведение любых двух иррациональных чисел является числом иррациональным;
3) произведение любого иррационального числа и любого рационального числа является числом иррациональным?
Похожие решебники
Популярные решебники 8 класс Все решебники
*К сожалению, временные проблемы с публикацией комментариев с мобильных устройств.