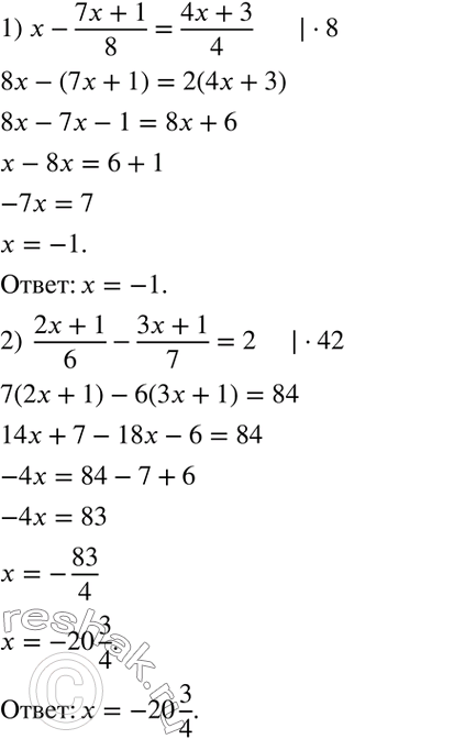
Упр.475 ГДЗ Мерзляк Полонский 7 класс (Алгебра)
Решение #1 (Учебник 2025)
Решение #2 (Учебник 2021)
Решение #3 (Учебник 2021)

Рассмотрим вариант решения задания из учебника Мерзляк, Полонская, Якир 7 класс, Вентана-Граф:
Из листа картона вырезали несколько равносторонних треугольников. В вершинах каждого написали цифры 1, 2, 3. Потом эти треугольники сложили в стопку. Может ли получиться так, что сумма чисел вдоль каждого ребра стопки будет равна 55?
Похожие решебники
Популярные решебники 7 класс Все решебники
*К сожалению, временные проблемы с публикацией комментариев с мобильных устройств.