Упр.465 ГДЗ Мерзляк Полонский 8 класс (Алгебра)
Решение #1 (Учебник 2025)
Решение #2 (Учебник 2025)
Решение #3 (Учебник 2019)
Решение #4 (Учебник 2019)

Рассмотрим вариант решения задания из учебника Мерзляк, Полонская, Якир 8 класс, Просвещение:
Найдите объединение множеств цифр, используемых в записи чисел:
1) 27 288 и 56 383;
2) 55 555 и 777 777.
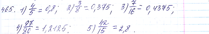
Преобразуйте в десятичную дробь:
1) 4/5;
2) 3/8;
3) 7/16;
4) 97/80;
5) 42/15.
Похожие решебники
Популярные решебники 8 класс Все решебники
*К сожалению, временные проблемы с публикацией комментариев с мобильных устройств.