Упр.46 ГДЗ Бунимович Булычев 11 класс (Алгебра)

Решение #1

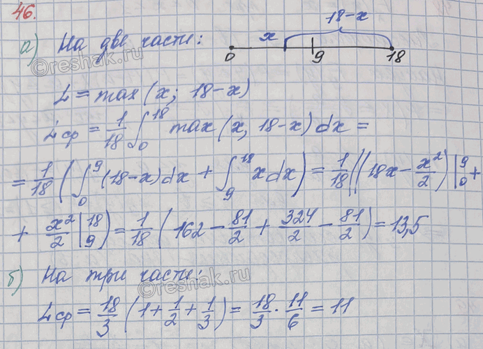
Изображение Карандаш длиной 18 см случайным образом ломают на две части. Чему равна средняя длина большей части? А если карандаш ломают на три...

Рассмотрим вариант решения задания из учебника Бунимович, Булычев 11 класс, Просвещение:
Карандаш длиной 18 см случайным образом ломают на две части. Чему равна средняя длина большей части? А если карандаш ломают на три части?
*Цитирирование задания со ссылкой на учебник производится исключительно в учебных целях для лучшего понимания разбора решения задания.
*размещая тексты в комментариях ниже, вы автоматически соглашаетесь с пользовательским соглашением