Упр.50 ГДЗ Бунимович Булычев 11 класс (Алгебра)

Решение #1

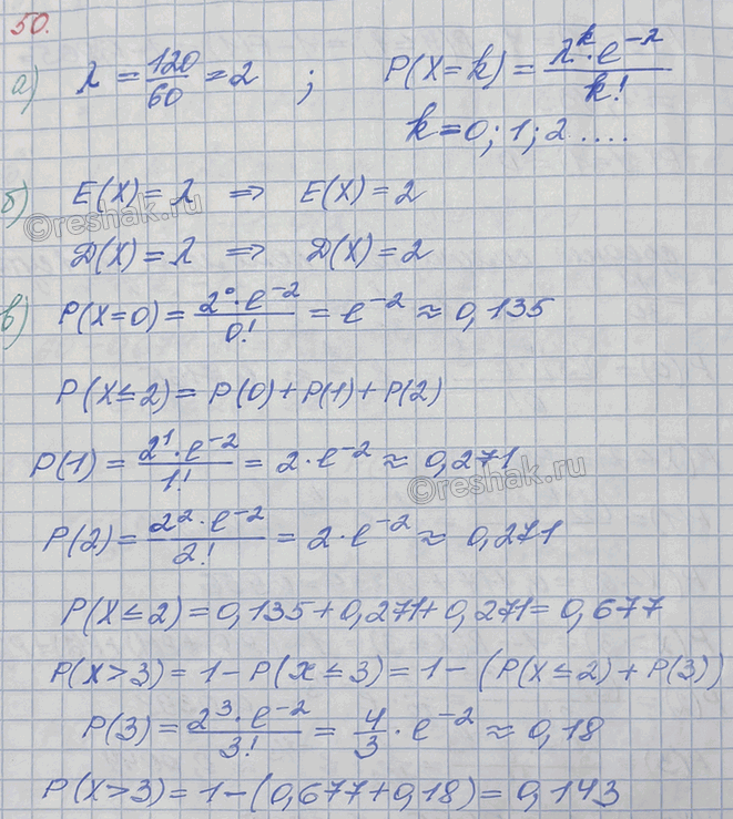
Изображение Среднее число вызовов, поступающих в кол-центр в минуту, равно 120. Случайная величина X — количество вызовов в секунду.а)	Найдите закон распределения X.б)	Найдите...

Рассмотрим вариант решения задания из учебника Бунимович, Булычев 11 класс, Просвещение:
Среднее число вызовов, поступающих в кол-центр в минуту, равно 120. Случайная величина X — количество вызовов в секунду.
а) Найдите закон распределения X.
б) Найдите математическое ожидание и дисперсию X.
в) Вычислите Р(Х= 0); P(Х < 2); Р{Х > 3).
*Цитирирование задания со ссылкой на учебник производится исключительно в учебных целях для лучшего понимания разбора решения задания.
*размещая тексты в комментариях ниже, вы автоматически соглашаетесь с пользовательским соглашением