Упр.43.25 ГДЗ Мерзляк 10 класс Углубленный уровень (Алгебра)
Решение #1

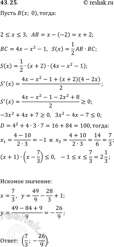
Рассмотрим вариант решения задания из учебника Мерзляк, Номировский, Поляков 10 класс, Просвещение:
43.25. На координатной плоскости расположен прямоугольный треугольник ABC (?ABC=90°). Вершина А имеет координаты (-2; 0), вершина В принадлежит отрезку [2; 3] оси абсцисс, а вершина С — параболе y=x^2-4x+1. Какими должны быть координаты точки С, чтобы площадь треугольника АВС была наибольшей?
Похожие решебники
Популярные решебники 10 класс Все решебники
*размещая тексты в комментариях ниже, вы автоматически соглашаетесь с пользовательским соглашением