🔥ГДЗ под запретом?

Упр.43 ГДЗ Никольский Потапов 9 класс (Алгебра)

Решение #1

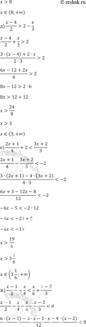
Изображение 43.а) (x-1)/32  в) 2x/38д) (x-4)/2>2-x/3  е)...
Дополнительное изображение
Дополнительное изображение

Решение #2

Изображение 43.а) (x-1)/32  в) 2x/38д) (x-4)/2>2-x/3  е)...
Дополнительное изображение
Дополнительное изображение

Рассмотрим вариант решения задания из учебника Никольский, Потапов 9 класс, Просвещение:
43.
а) (x-1)/3 < 1
б) x/2-x/3 > 2
в) 2x/3 < x/4-1
г) 3x/2+x/6-2x/3 > 8
д) (x-4)/2 > 2-x/3
е) (2x+1)/4+2 < (3x+2)/3
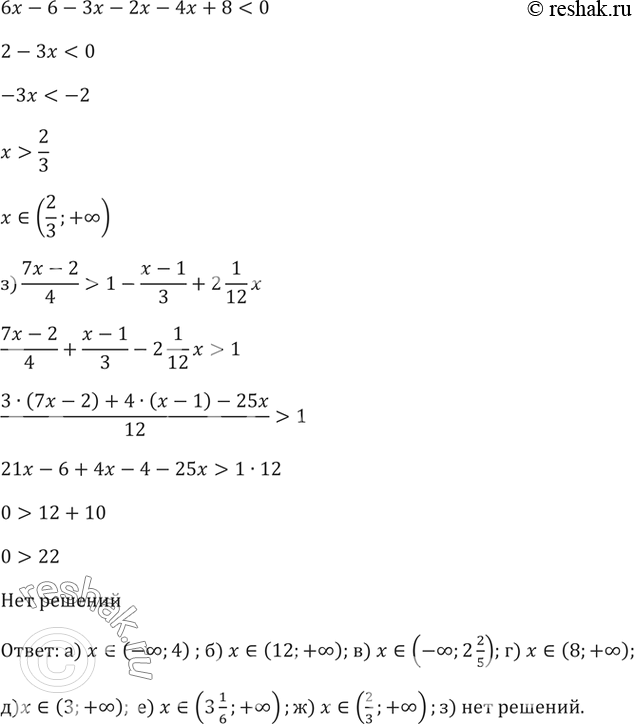
ж) (x-1)/2-x/4 < x/6+(x-2)/3
з) (7x-2)/4 > 1-(x-1)/3+21/12 x
*Цитирирование задания со ссылкой на учебник производится исключительно в учебных целях для лучшего понимания разбора решения задания.
*К сожалению, временные проблемы с публикацией комментариев с мобильных устройств.