🔥ГДЗ под запретом?

Упр.40 ГДЗ Никольский Потапов 9 класс (Алгебра)

Решение #1

Изображение 40.а) 2x+(3x-1)>4б)...
Дополнительное изображение

Решение #2

Изображение 40.а) 2x+(3x-1)>4б)...
Дополнительное изображение

Рассмотрим вариант решения задания из учебника Никольский, Потапов 9 класс, Просвещение:
40.
а) 2x+(3x-1) > 4
б) x-16 < (5-2x)-x-1
в) 2x-(x-1) < 3
г) (2x-3)-(x+1) > 1
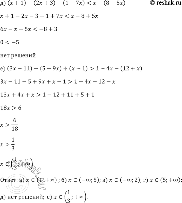
д) (x+1)-(2x+3)-(1-7x) < x-(8-5x)
е) (3x-11)-(5-9x)+(x-1) > 1-4x-(12+x)
*Цитирирование задания со ссылкой на учебник производится исключительно в учебных целях для лучшего понимания разбора решения задания.
*К сожалению, временные проблемы с публикацией комментариев с мобильных устройств.