Упр.411 ГДЗ Мерзляк Полонский 7 класс (Алгебра)
Решение #1 (Учебник 2025)
Решение #2 (Учебник 2021)
Решение #3 (Учебник 2021)

Рассмотрим вариант решения задания из учебника Мерзляк, Полонская, Якир 7 класс, Вентана-Граф:
Решите уравнение:
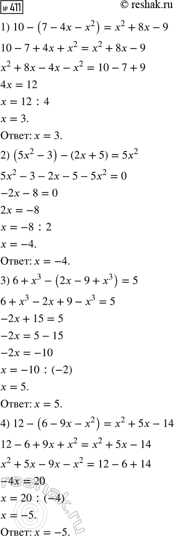
1) 10 - (7 - 4х - x^2) = х^2 + 8х - 9;
2) (5x^2 - 3) - (2x + 5) = 5x^2;
3) 6 + x^3 - (2x - 9 + x^3) = 5;
4) 12 - (6 - 9x - x^2) = x^2 + 5х - 14.
Длина прямоугольника на 2 см больше его ширины. Если длину увеличить на 2 см, а ширину уменьшить на 4 см, то площадь прямоугольника уменьшится на 40 см2. Найдите исходные длину и ширину прямоугольника.
Похожие решебники
Популярные решебники 7 класс Все решебники
*К сожалению, временные проблемы с публикацией комментариев с мобильных устройств.