Упр.407 ГДЗ Мерзляк Полонский 7 класс (Алгебра)
Решение #1 (Учебник 2025)
Решение #2 (Учебник 2021)
Решение #3 (Учебник 2021)

Рассмотрим вариант решения задания из учебника Мерзляк, Полонская, Якир 7 класс, Вентана-Граф:
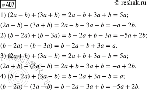
Найдите сумму и разность двучленов:
1) 2a - b и 3a + b; 3) 2a + b и 3a - b;
2) b - 2a и b - 3a; 4) b - 2a и 3a - b.
Найдите четыре последовательных натуральных числа таких, что произведение четвёртого и второго из этих чисел на 17 больше произведения третьего и первого.
Похожие решебники
Популярные решебники 7 класс Все решебники
*К сожалению, временные проблемы с публикацией комментариев с мобильных устройств.