Упр.406 ГДЗ Мерзляк Полонский 7 класс (Алгебра)
Решение #1 (Учебник 2025)
Решение #2 (Учебник 2021)
Решение #3 (Учебник 2021)

Рассмотрим вариант решения задания из учебника Мерзляк, Полонская, Якир 7 класс, Вентана-Граф:
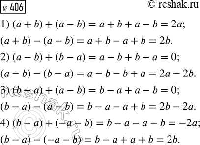
Найдите сумму и разность двучленов:
1) a + b и a - b; 3) b - a и a - b;
2) a - b и b - a; 4) b - a и -a - b.
Задумали три натуральных числа. Второе число на 4 больше первого, а третье — на 6 больше второго. Найдите эти числа, если отношение первого числа ко второму равно отношению второго числа к третьему.
Похожие решебники
Популярные решебники 7 класс Все решебники
*К сожалению, временные проблемы с публикацией комментариев с мобильных устройств.