Упр.4.45 ГДЗ Дорофеев Суворова 9 класс (Алгебра)
Решение #1

Рассмотрим вариант решения задания из учебника Дорофеев, Суворова, Бунимович 9 класс, Просвещение:
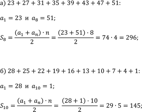
Дана сумма, слагаемые которой являются членами арифметической прогрессии. Впишите недостающие слагаемые и найдите значение этой суммы:
а) 23 + 27 + 31 + ... + 51;
б) 28 + 25 + 22 + ... + 1.
Популярные решебники 9 класс Все решебники
*К сожалению, временные проблемы с публикацией комментариев с мобильных устройств.