🔥ГДЗ под запретом?

Упр.4.366 ГДЗ Виленкин Жохов 6 класс Часть 2, Просвещение (Математика)

Решение #1 (Учебник 2023)

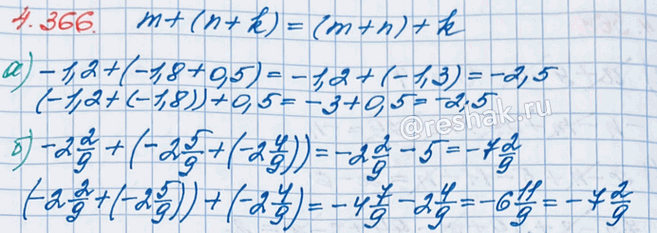
Изображение Проверьте сочетательное свойство сложения рациональных чисел a + (b + c) = (a + b) + c:а) a = -1,2, b = -1,8, c = 0,5; б) a = -2 2/9, b = -2 5/9, c = -2 4/9....

Решение #2 (Учебник 2023)

Изображение Проверьте сочетательное свойство сложения рациональных чисел a + (b + c) = (a + b) + c:а) a = -1,2, b = -1,8, c = 0,5; б) a = -2 2/9, b = -2 5/9, c = -2 4/9....

Решение #3 (Учебник 2021)

Изображение Проверьте сочетательное свойство сложения рациональных чисел a + (b + c) = (a + b) + c:а) a = -1,2, b = -1,8, c = 0,5; б) a = -2 2/9, b = -2 5/9, c = -2 4/9....

Рассмотрим вариант решения задания из учебника Виленкин, Жохов, Чесноков 6 класс, Просвещение:
С помощью букв m, n и k запишите сочетательное свойство сложения. Подставьте значения букв:
а) m = -1,2, n = -1,8, k = 0,5; б) m = -2 2/9, n = -2 5/9, k = -2 4/9.
Проверьте получившиеся равенства.

Проверьте сочетательное свойство сложения рациональных чисел a + (b + c) = (a + b) + c:
а) a = -1,2, b = -1,8, c = 0,5;
б) a = -2 2/9, b = -2 5/9, c = -2 4/9.

*Цитирирование задания со ссылкой на учебник производится исключительно в учебных целях для лучшего понимания разбора решения задания.
*К сожалению, временные проблемы с публикацией комментариев с мобильных устройств.