🔥ГДЗ под запретом?

Упр.4.107 ГДЗ Виленкин Жохов 6 класс Часть 2, Просвещение (Математика)

Решение #1 (Учебник 2023)

Изображение Назовите числа, у которых модуль равен 3; 15,6; 4 41/42; 0; 1; -(-5).Модуль числа принимает только неотрицательные значения.Модули противоположных чисел (то есть...

Решение #2 (Учебник 2023)

Изображение Назовите числа, у которых модуль равен 3; 15,6; 4 41/42; 0; 1; -(-5).Модуль числа принимает только неотрицательные значения.Модули противоположных чисел (то есть...

Решение #3 (Учебник 2023)

Изображение Назовите числа, у которых модуль равен 3; 15,6; 4 41/42; 0; 1; -(-5).Модуль числа принимает только неотрицательные значения.Модули противоположных чисел (то есть...

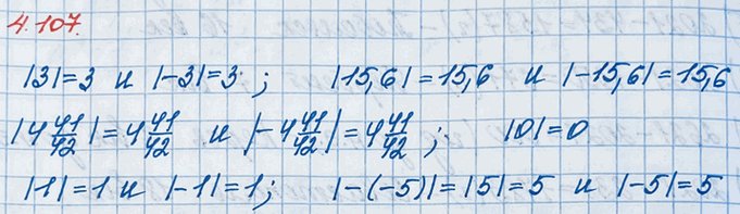
Рассмотрим вариант решения задания из учебника Виленкин, Жохов, Чесноков 6 класс, Просвещение:
Назовите числа, у которых модуль равен 3; 15,6; 4 41/42; 0; 1; -(-5).
Модуль числа принимает только неотрицательные значения.
Модули противоположных чисел (то есть чисел, отличающихся только знаками) равны.
При этом учитываем то, что число 0 противоположно самому себе и -(-5)=5.
Тогда, получим, что |-3|=|3|=3
|-15,6|=|15,6|=15,6
|-4 41/42|=|4 41/42|=4 41/42
|0|=0
|-1|=|1|=1
|-5|=|5|=-(-5)

*Цитирирование задания со ссылкой на учебник производится исключительно в учебных целях для лучшего понимания разбора решения задания.
*К сожалению, временные проблемы с публикацией комментариев с мобильных устройств.