Упр.38.27 ГДЗ Мордкович Семенов 11 класс (Алгебра)
Решение #1 (Учебник 2025)

Рассмотрим вариант решения задания из учебника Мордкович, Семенов, Александрова 11 класс, Просвещение:
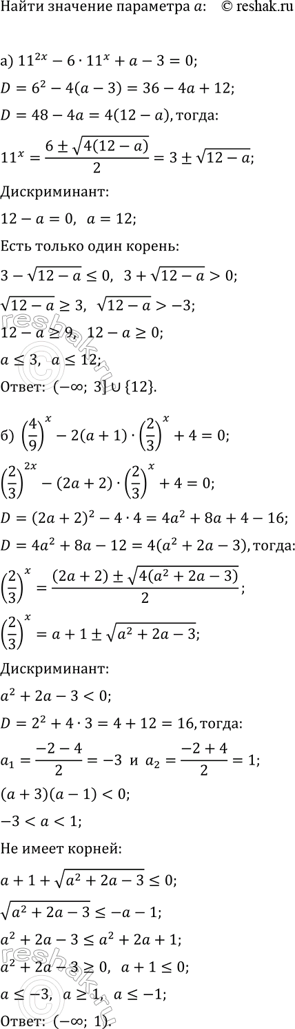
Найдите все значения параметра а, при которых:
а) уравнение 11^(2x)-6·11^x+a-3=0 имеет единственный корень;
б) уравнение (4/9)^x-2(a+1)·(2/3)^x+4=0 не имеет корней.
Похожие решебники
Популярные решебники 11 класс Все решебники
*К сожалению, временные проблемы с публикацией комментариев с мобильных устройств.