Упр.36.14 ГДЗ Мерзляк 10 класс Углубленный уровень (Алгебра)
Решение #1

Рассмотрим вариант решения задания из учебника Мерзляк, Номировский, Поляков 10 класс, Просвещение:
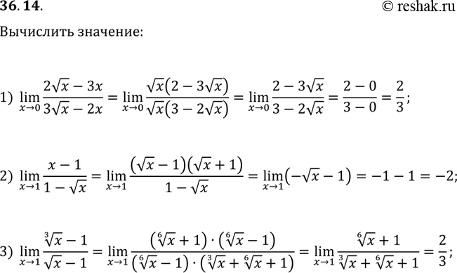
36.14. Вычислите:
1) (x→0)lim((2√x-3x)/(3√x-2x));
2) (x→1)lim((x-1)/(1-√x));
3) (x→1)lim((x^(1/3)-1)/(√x-1)).
Похожие решебники
Популярные решебники 10 класс Все решебники
*размещая тексты в комментариях ниже, вы автоматически соглашаетесь с пользовательским соглашением