Упр.36.29 ГДЗ Мордкович Семенов 11 класс (Алгебра)
Решение #1 (Учебник 2025)

Рассмотрим вариант решения задания из учебника Мордкович, Семенов, Александрова 11 класс, Просвещение:
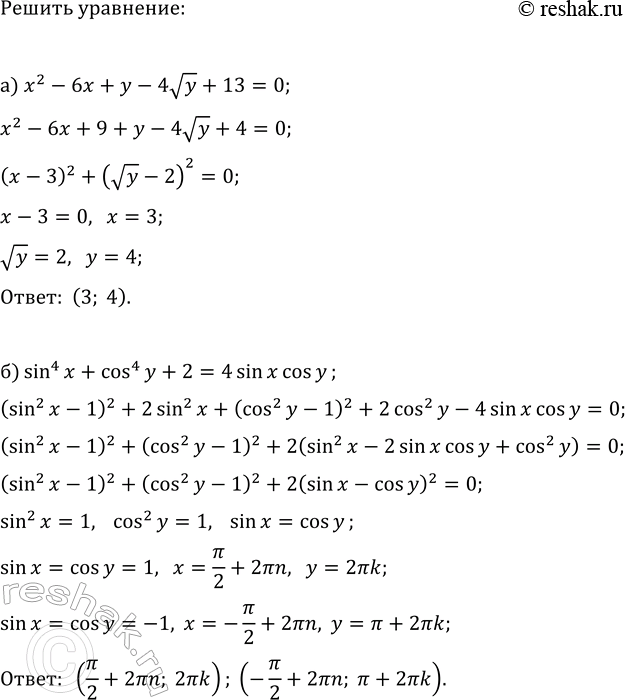
Решите уравнение:
а) x^2 - 6x + y - 4vy + 13 = 0;
б) sin^4(x) + cos^4(y) + 2 = 4sin(x)cos(y).
Похожие решебники
Популярные решебники 11 класс Все решебники
*К сожалению, временные проблемы с публикацией комментариев с мобильных устройств.