Упр.36.27 ГДЗ Мордкович Семенов 11 класс (Алгебра)
Решение #1 (Учебник 2025)

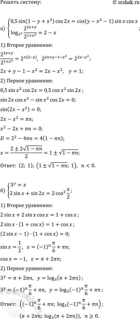
Рассмотрим вариант решения задания из учебника Мордкович, Семенов, Александрова 11 класс, Просвещение:
Решите систему уравнений:
а) {0,5sin(1 - y + x^2) cos(2x) = cos(y - x^2 - 1) sin(x) cos(x), log(2^x; 2^(2x + y) / 2^(1 + x^2)) = 2 - x};
б) {3^y = x, 2sin(x) + sin(2x) = 2 (cos(x/2))^2}.
Похожие решебники
Популярные решебники 11 класс Все решебники
*К сожалению, временные проблемы с публикацией комментариев с мобильных устройств.