Упр.35.32 Часть 2 ГДЗ Мордкович Семенов 7 класс (Алгебра)
Решение #1 (Учебник 2019)

Рассмотрим вариант решения задания из учебника Мордкович, Семенов, Александрова 7 класс, Бином:
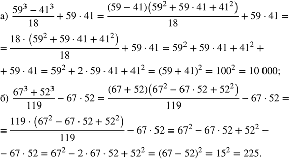
Вычислите наиболее рациональным способом:
а) (59^3 - 41^3)/18 + 59 · 41;
б) (67^3 + 52^3)/119 - 67 · 52.
Похожие решебники
Популярные решебники 7 класс Все решебники
*К сожалению, временные проблемы с публикацией комментариев с мобильных устройств.