Упр.35.34 Часть 2 ГДЗ Мордкович Семенов 7 класс (Алгебра)
Решение #1 (Учебник 2019)

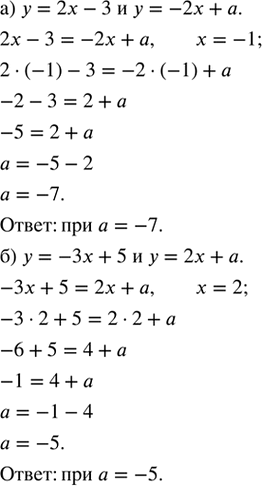
Рассмотрим вариант решения задания из учебника Мордкович, Семенов, Александрова 7 класс, Бином:
а) Даны линейные функции у = 2х — 3 и у = —2х + а. При каком значении параметра а значения функций в точках с абсциссой — 1 равны?
б) Даны линейные функции у = -3x + 5 и у = 2х + а. При каком значении параметра а значения функций в точках с абсциссой 2 равны?
Похожие решебники
Популярные решебники 7 класс Все решебники
*К сожалению, временные проблемы с публикацией комментариев с мобильных устройств.