Упр.35.23 Часть 2 ГДЗ Мордкович Семенов 7 класс (Алгебра)
Решение #1 (Учебник 2019)

Рассмотрим вариант решения задания из учебника Мордкович, Семенов, Александрова 7 класс, Бином:
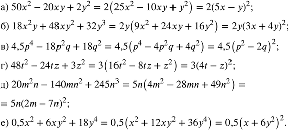
Разложите на множители:
а) 50x^2 - 20xy + 2y^2; г) 48y^2 - 24tz + 3z^2;
б) 18x^2 y + 48xy^2 + 32y^3; д) 20m^2 n - 140mn^2 + 245n^3;
в) 4,5p^4 - 18p^2 q + 18q^2; е) 0,5x^2 + 6xy^2 + 18y^4.
Похожие решебники
Популярные решебники 7 класс Все решебники
*К сожалению, временные проблемы с публикацией комментариев с мобильных устройств.