Упр.35.17 Часть 2 ГДЗ Мордкович Семенов 7 класс (Алгебра)
Решение #1 (Учебник 2025)
Решение #2 (Учебник 2019)

Рассмотрим вариант решения задания из учебника Мордкович, Семенов, Александрова 7 класс, Бином:
Решите уравнение:
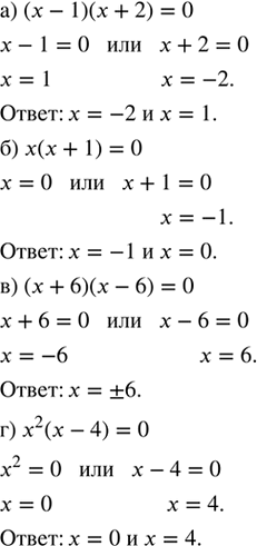
а) (x - 1)(x + 2) = 0; в) (x + 6)(x - 6) = 0;
б) x(x + 1) = 0; г) x^2 (x - 4) = 0.
Решите уравнение:
а) (2x - 5)^2 - 36 = 0; г) (11x - 4)^2 - 1 = 0;
б) (5x - 3)^2 - 9x^2 = 0; д) (4x - 3)^2 - 25x^2 = 0;
в) (x + 1)^2 - (2x + 3)^2 = 0; е) (3x - 2)^2 - (x + 1)^2 = 0.
Похожие решебники
Популярные решебники 7 класс Все решебники
*К сожалению, временные проблемы с публикацией комментариев с мобильных устройств.