Упр.35.14 Часть 2 ГДЗ Мордкович Семенов 7 класс (Алгебра)
Решение #1 (Учебник 2025)
Решение #2 (Учебник 2019)

Рассмотрим вариант решения задания из учебника Мордкович, Семенов, Александрова 7 класс, Бином:
Найдите значение числового выражения:
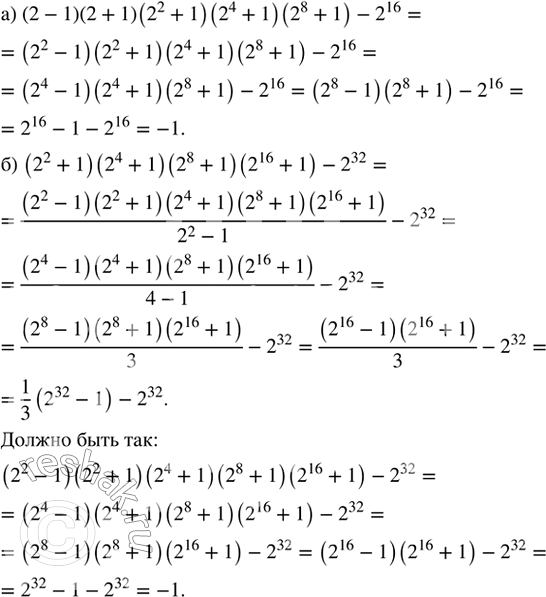
а) (2 - 1)(2 + 1)(2^2 + 1)(2^4 + 1)(2^8 + 1) - 2^16;
б) (2^2 + 1)(2^4 + 1)(2^8 + 1)(2^16 + 1) - 2^32.
Разложите на множители:
а) (y - 1)^2 - 16; г) (3x + 2)^2 - 49;
б) (2a + 3)^2 - 4a^2; д) (c - 4)^2 - 25c^2;
в) (x + 2y)^2 - 9x^2; е) (a - 5b)^2 - b^2.
Похожие решебники
Популярные решебники 7 класс Все решебники
*К сожалению, временные проблемы с публикацией комментариев с мобильных устройств.