Упр.34.1 ГДЗ Мерзляк 10 класс Углубленный уровень (Алгебра)
Решение #1

Рассмотрим вариант решения задания из учебника Мерзляк, Номировский, Поляков 10 класс, Просвещение:
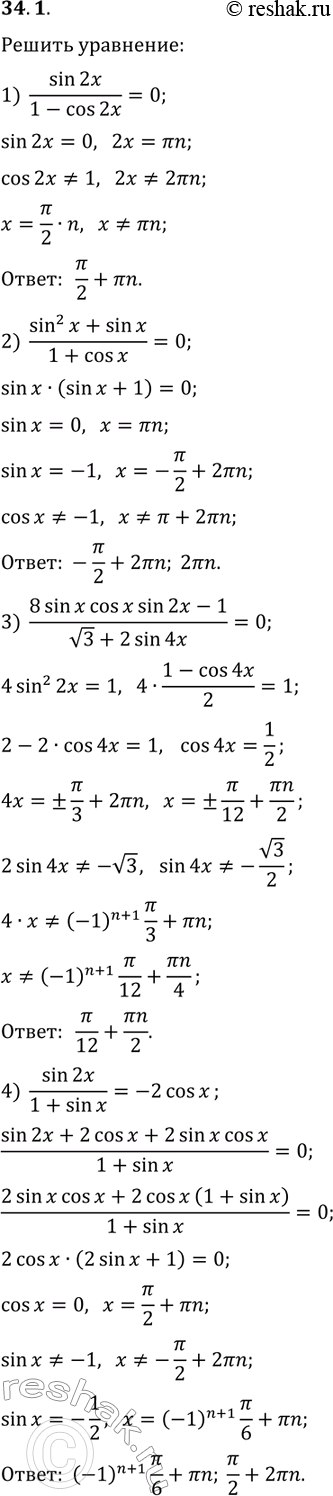
34.1. Решите уравнение:
1) sin(2x)/(1-cos(2x))=0;
2) (sin^2(x)+sin(x))/(1+cos(x))=0;
3) (8sin(x)cos(x)sin(2x)-1)/(v3+2sin(4x))=0;
4) sin(2x)/(1+sin(x))=-2cos(x).
Похожие решебники
Популярные решебники 10 класс Все решебники
*размещая тексты в комментариях ниже, вы автоматически соглашаетесь с пользовательским соглашением