Упр.34.16 Часть 2 ГДЗ Мордкович Семенов 7 класс (Алгебра)
Решение #1 (Учебник 2025)
Решение #2 (Учебник 2019)

Рассмотрим вариант решения задания из учебника Мордкович, Семенов, Александрова 7 класс, Бином:
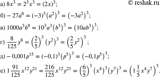
Представьте выражение в виде куба одночлена:
а) 8х^3; в) 1000а^3 b^9; д) -0,001р^15;
б) -27a^6; г) 8/125 y^6; е) 1 91/125 x^12 y^21.
Постройте график уравнения:
а) 2x^2 + ху = 0; г) y^2 - 3xy = 0;
б) х^2 - ху + 2х = 0; д) 2xy + y^2 - 3y = 0;
в) 0,5х^2 у - ху^2 = 0; е) x^2 y + 3xy^2 = 0.
Похожие решебники
Популярные решебники 7 класс Все решебники
*К сожалению, временные проблемы с публикацией комментариев с мобильных устройств.