🔥ГДЗ под запретом?

Упр.330 ГДЗ Никольский Потапов 9 класс (Алгебра)

Решение #1

Изображение 330. Используя график функции у = х^3 (х >= 0), определите приближённо корень третьей степени из у для следующих значений у:а) 1; 2; 3; 4; 5; 6; 7; 8;б) 0,5; 1,5;...
Дополнительное изображение

Решение #2

Изображение 330. Используя график функции у = х^3 (х >= 0), определите приближённо корень третьей степени из у для следующих значений у:а) 1; 2; 3; 4; 5; 6; 7; 8;б) 0,5; 1,5;...
Дополнительное изображение

Рассмотрим вариант решения задания из учебника Никольский, Потапов 9 класс, Просвещение:
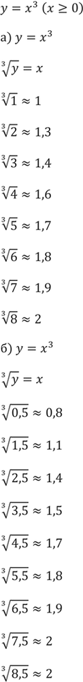
330. Используя график функции у = х^3 (х > = 0), определите приближённо корень третьей степени из у для следующих значений у:
а) 1; 2; 3; 4; 5; 6; 7; 8;
б) 0,5; 1,5; 2,5; 3,5; 4,5; 5,5; 6,5; 7,5; 8,5.
*Цитирирование задания со ссылкой на учебник производится исключительно в учебных целях для лучшего понимания разбора решения задания.
*К сожалению, временные проблемы с публикацией комментариев с мобильных устройств.