🔥ГДЗ под запретом?

Пункт 32 Часть 2 ГДЗ Рабочая тетрадь Ткачёва Виленкин 5 класс (Математика)

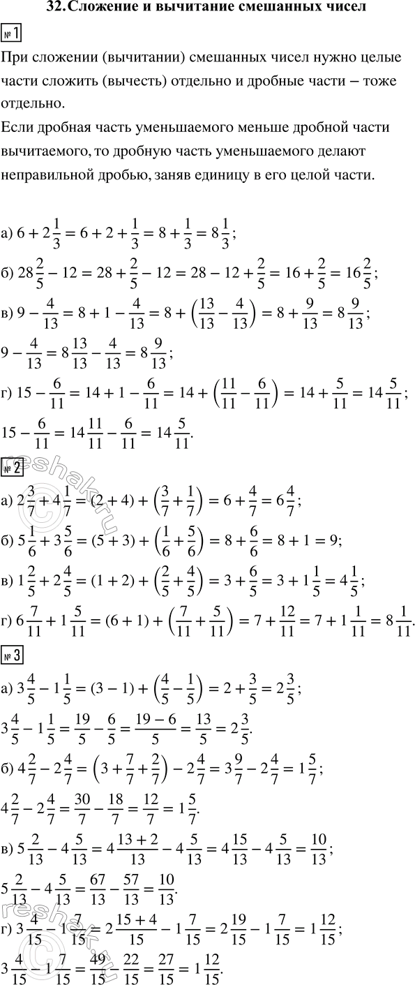
Изображение 1. Вычислите:а) 6 + 2 1/3;   б) 28 2/5 - 12;   в) 9 - 4/13;   г) 15 - 6/11.2. Найдите сумму смешанных чисел:а) 2 3/7 + 4 1/7;б) 5 1/6 + 3 5/6; в) 1 2/5 + 2...

Рассмотрим вариант решения задания из учебника Ткачёва, Виленкин 5 класс, Просвещение:
1. Вычислите:
а) 6 + 2 1/3; б) 28 2/5 - 12; в) 9 - 4/13; г) 15 - 6/11.
2. Найдите сумму смешанных чисел:
а) 2 3/7 + 4 1/7;
б) 5 1/6 + 3 5/6;
в) 1 2/5 + 2 4/5;
г) 6 7/11 + 1 5/11.
3. Найдите разность:
а) 3 4/5 - 1 1/5;
б) 4 2/7 - 2 4/7;
в) 5 2/13 - 4 5/13;
г) 3 4/15 - 1 7/15.
*Цитирирование задания со ссылкой на учебник производится исключительно в учебных целях для лучшего понимания разбора решения задания.
*К сожалению, временные проблемы с публикацией комментариев с мобильных устройств.