Упр.31.15 Часть 2 ГДЗ Мордкович Семенов 7 класс (Алгебра)
Решение #1 (Учебник 2019)

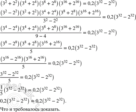
Рассмотрим вариант решения задания из учебника Мордкович, Семенов, Александрова 7 класс, Бином:
Докажите равенство:
(3^2 + 2^2)(3^4 + 2^4)(3^8 + 2^8)(3^16 + 2^16) = 0,2(3^32 - 2^32).
Похожие решебники
Популярные решебники 7 класс Все решебники
*К сожалению, временные проблемы с публикацией комментариев с мобильных устройств.