Упр.31.13 Часть 2 ГДЗ Мордкович Семенов 7 класс (Алгебра)
Решение #1 (Учебник 2019)

Рассмотрим вариант решения задания из учебника Мордкович, Семенов, Александрова 7 класс, Бином:
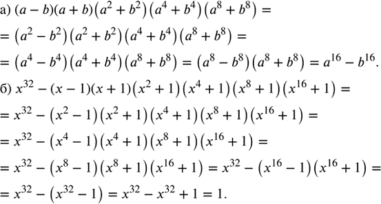
Упростите выражение:
а) (а - b)(а + b)(а^2 + b^2)(а^4 + b^4)(а^8 + b^8);
б) x^32 - (x - 1)(x + 1)(x^2 + 1)(x^4 + 1)(x^8 + 1)(x^16 + 1).
Похожие решебники
Популярные решебники 7 класс Все решебники
*К сожалению, временные проблемы с публикацией комментариев с мобильных устройств.