Упр.31.12 Часть 2 ГДЗ Мордкович Семенов 7 класс (Алгебра)
Решение #1 (Учебник 2019)

Рассмотрим вариант решения задания из учебника Мордкович, Семенов, Александрова 7 класс, Бином:
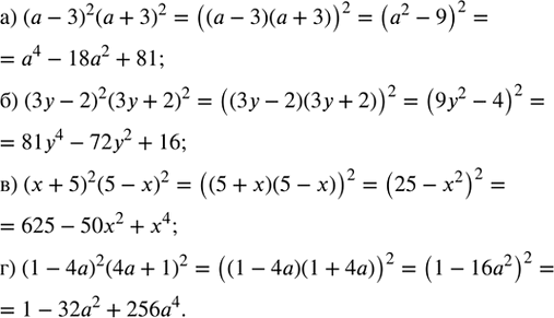
Упростите выражение:
а) (а - 3)^2 (а + 3)^2; в) (x + 5)^2 (5 - x)^2;
б) (3у - 2)^2 (3 + 2у)^2; г) (1 - 4а)^2 (4а + 1)^2.
Похожие решебники
Популярные решебники 7 класс Все решебники
*К сожалению, временные проблемы с публикацией комментариев с мобильных устройств.