🔥ГДЗ под запретом?

Упр.31 ГДЗ Никольский Потапов 9 класс (Алгебра)

Решение #1

Изображение 31. Приведите неравенство к виду kx + b > 0 или kx + Ь < 0:а) Зх - 2 > 7х	+ 5;	б) 4 - 6х < 9 - х; в) 7 > 0,2x;	г) 8 - 2 (3 - 2x) <...

Решение #2

Изображение 31. Приведите неравенство к виду kx + b > 0 или kx + Ь < 0:а) Зх - 2 > 7х	+ 5;	б) 4 - 6х < 9 - х; в) 7 > 0,2x;	г) 8 - 2 (3 - 2x) <...

Рассмотрим вариант решения задания из учебника Никольский, Потапов 9 класс, Просвещение:
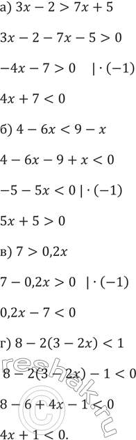
31. Приведите неравенство к виду kx + b > 0 или kx + Ь < 0:

а) Зх - 2 > 7х + 5; б) 4 - 6х < 9 - х; в) 7 > 0,2x; г) 8 - 2 (3 - 2x) < 1.
*Цитирирование задания со ссылкой на учебник производится исключительно в учебных целях для лучшего понимания разбора решения задания.
*К сожалению, временные проблемы с публикацией комментариев с мобильных устройств.