Упр.30.5 ГДЗ Мерзляк 10 класс Углубленный уровень (Алгебра)
Решение #1

Рассмотрим вариант решения задания из учебника Мерзляк, Номировский, Поляков 10 класс, Просвещение:
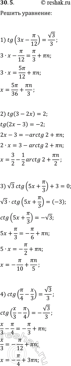
30.5. Решите уравнение:
1) tg(3x-?/12)=v3/3; 3) v3ctg(5x+?/3)+3=0;
2) tg(3-2x)=2; 4) ctg(?/4-x/3)=v3/3.
Похожие решебники
Популярные решебники 10 класс Все решебники
*размещая тексты в комментариях ниже, вы автоматически соглашаетесь с пользовательским соглашением