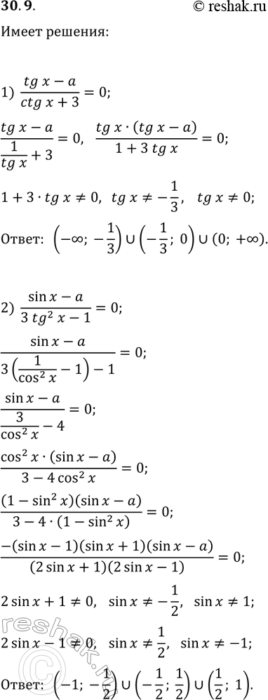
Упр.30.9 ГДЗ Мерзляк 10 класс Углубленный уровень (Алгебра)
Решение #1

Рассмотрим вариант решения задания из учебника Мерзляк, Номировский, Поляков 10 класс, Просвещение:
30.9. При каких значениях параметра а имеет решения уравнение:
1) (tg(x)-a)/(ctg(x)+3)=0; 2) (sin(x)-a)/(3tg^2(x)-1)=0?
Похожие решебники
Популярные решебники 10 класс Все решебники
*размещая тексты в комментариях ниже, вы автоматически соглашаетесь с пользовательским соглашением