Упр.30.2 ГДЗ Мерзляк 10 класс Углубленный уровень (Алгебра)
Решение #1

Рассмотрим вариант решения задания из учебника Мерзляк, Номировский, Поляков 10 класс, Просвещение:
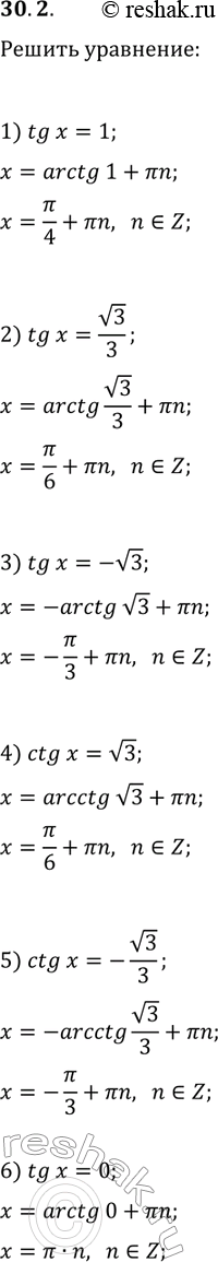
30.2. Решите уравнение:
1) tg(x)=1; 3) tg(x)=-v3; 5) ctg(x)=-v3/3;
2) tg(x)=v3/3; 4) ctg(x)=v3; 6) tg(x)=0.
Похожие решебники
Популярные решебники 10 класс Все решебники
*размещая тексты в комментариях ниже, вы автоматически соглашаетесь с пользовательским соглашением