Упр.3.93 ГДЗ Дорофеев Шарыгин 5 класс (Математика)
Решение #1

Рассмотрим вариант решения задания из учебника Дорофеев, Шарыгин, Суворова 5 класс, Просвещение:
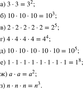
Запишите в виде степени произведение чисел:
а) 3 · 3; д) 10 · 10 · 10 · 10 · 10;
б) 10 · 10 · 10; е) 1 · 1 · 1 · 1 · 1 · 1 · 1 · 1;
в) 2 · 2 · 2 · 2 · 2; ж) a · a;
г) 4 · 4 · 4 · 4; з) n · n · n.
Популярные решебники 5 класс Все решебники
*К сожалению, временные проблемы с публикацией комментариев с мобильных устройств.